Next Page Previous Page Home Tools & Aids Search Handbook

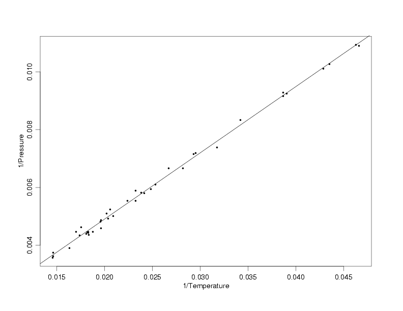
Additional Plots for Model of Modified Pressure/Temperature Example Fit Using Transformed Variables

Modified Pressure / Temperature Model Fit with Transformed Variables plot of modified pressure/temperature model fit with transformed variables
4plot of Residuals from Model Fit with Transformed Variables 4plot of residuals from modified pressure/temperature model fit with transformed variables
Home Tools & Aids Search Handbook Previous Page Next Page