Next Page Previous Page Home Tools & Aids Search Handbook

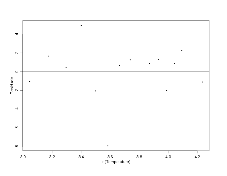
Residual Plots for Estimation of Weights in Pressure/Temperature Example

Residuals from Weight Estimation Model vs ln(Temperature) residuals from model for estimation of weights versus ln(temperature)
4plot of Residuals from Weight Estimation Model 4plot of residuals from model for estimation of weights
Home Tools & Aids Search Handbook Previous Page Next Page